
Extracto
Este estudio explora el nexo entre la digitalización, la formalización y la participación en la cadena de valor global (CGV), proporcionando información crítica sobre el crecimiento inclusivo. A pesar de la importancia del nexo, se han inferido nociones comunes sobre los efectos positivos de la digitalización en la formalización de las empresas y la participación en las cadenas de valor mundiales sin suficiente apoyo empírico, mientras que pocos estudios han examinado el impacto recíproco de la formalización en la participación en las cadenas de valor mundiales. Utilizando estimaciones probit y tobit con datos transversales a nivel de empresa de las Encuestas de Empresas del Banco Mundial que abarcan 28 países de Asia y el Pacífico y aproximadamente 20.000 pequeñas y medianas empresas (2008-2018), los hallazgos revelan que las empresas que adoptan la conectividad digital, como el correo electrónico o las tecnologías de sitios web, tienen más probabilidades de operar formalmente. La formalización no solo facilita la participación en las cadenas de valor mundiales, sino que también profundiza dicha participación. Esto subraya el papel fundamental de la digitalización y la formalización para permitir una participación significativa de las cadenas de valor mundiales. Sobre la base de los resultados estimados, la prioridad política debería ser las medidas de política que mejoren la digitalización fundamental de las empresas informales, ya que son rentables y pueden promover al mismo tiempo la formalización de las empresas y su participación en las cadenas de valor mundiales. Además, se pueden implementar medidas de política que fomenten la productividad laboral y la formalización como políticas de apoyo.
Palabras clave: digitalización, análisis a nivel de empresa, formalización, cadenas globales de valor, empresas informales
Clasificación JEL: D21, F14, L26, O17, O24
1. INTRODUCCIÓN
De acuerdo con la Recomendación No. 204 sobre la Transición de la Economía Informal a la Economía Formal (CIT 2015: 4), una economía informal se refiere a «todas las actividades económicas de los trabajadores y las unidades económicas que, en la ley o en la práctica, no están cubiertas o están insuficientemente cubiertas por acuerdos formales». Las unidades económicas de la economía informal son las unidades con empleados, las unidades gestionadas por personas que trabajan por cuenta propia (ya sean autónomos o unidades con la ayuda de trabajadores familiares contribuyentes), las cooperativas y las unidades de economía social y solidaria. En consecuencia, las empresas informales1 suelen caracterizarse por actividades intensivas en mano de obra y de baja productividad, con poco potencial de crecimiento, ya que tienen un acceso limitado a los recursos financieros y al apoyo gubernamental. Las empresas informales contribuyen significativamente a la actividad económica y al empleo, especialmente en los países en desarrollo (OIT 2018; Narula 2018).
En Asia y el Pacífico, las pequeñas y medianas empresas (pymes) representan más del 97% de las empresas (APEC 2020), que pertenecen predominantemente al sector informal (Andrade, Bruhn y McKenzie 2015; Bruhn y McKenzie 2014; Cusolito, Safadi y Taglioni 2016). La Corporación Financiera Internacional (2012) estima que entre el 80% y el 90% de las pymes se concentran en el sector informal. Por ejemplo, el 83,4% de las empresas del sur de Asia son empresas informales (OIT 2018). Del mismo modo, las empresas informales dominan las economías africanas en empleo y producción (OIT 2018). Las estimaciones de la participación de las empresas informales en el número total de empresas son tan altas como el 70% o más en Sri Lanka (de Mel, McKenzie y Woodruff 2013) y Brasil (Ulysseay 2015). A pesar de que el sector no estructurado se considera uno de los motores económicos de las economías en desarrollo, especialmente en las primeras etapas de desarrollo, la prevalencia de las empresas no estructurados y del sector no estructurado en general puede obstaculizar el crecimiento económico a largo plazo debido a la insuficiente productividad agregada y a la ineficiente asignación de recursos. Por lo tanto, se espera que el tamaño del sector informal se reduzca junto con el desarrollo del sector formal y de la economía en general. Sin embargo, las estadísticas recientes cuentan una historia diferente. Las empresas informales son frecuentes en las zonas urbanas y rurales de las economías en desarrollo y desarrolladas (OIT, 2018).
El rápido desarrollo de las cadenas globales de valor (CGV) presenta oportunidades y desafíos para las empresas informales. La participación en las cadenas de valor mundiales puede beneficiar a las empresas informales, incluido el acceso a recursos financieros, la mejora de las capacidades y la competitividad, la expansión del mercado y la mejora de la calidad de los productos (Korwatanasakul y Paweenawat 2020). A pesar de todos los beneficios, el sector informal sigue estando subrepresentado en las cadenas de valor mundiales (Cusolito, Safadi y Taglioni 2016; Ganne y Lundquist 2019), ya que la informalidad es una de las limitaciones críticas que impiden la participación de las empresas. En medio del continuo avance de la revolución industrial conocida como «Industria 4.0», las tecnologías digitales han adquirido una importancia sin precedentes para impulsar el progreso industrial y económico. A través de la reducción de los costos de cumplimiento y el aumento de la productividad, la digitalización de las empresas puede facilitar la transición de las empresas informales al sector formal. Si bien la digitalización, la formalización y la participación en las cadenas de valor mundiales se reconocen como factores importantes, el impacto de la digitalización en la formalización de las empresas no se ha explorado lo suficiente en investigaciones anteriores. Además, las afirmaciones sobre la influencia beneficiosa de la formalización en la participación en las cadenas de valor mundiales carecen de una justificación empírica adecuada. Esta deficiencia se debe en parte a la escasez de datos a nivel de empresa, particularmente en los países en desarrollo. En consecuencia, muchos estudios han empleado las fuentes de datos agregados disponibles para abordar estas preocupaciones.
La bibliografía existente también subraya una relación compleja entre la formalización y la participación en las cadenas de valor mundiales, que tiene implicaciones ambientales y sociales. La formalización se asocia con resultados ambientales positivos debido a un mayor cumplimiento de las regulaciones (OIT 2022), mientras que la participación en las cadenas de valor mundiales presenta desafíos y oportunidades, incluida la necesidad de prácticas sostenibles (Golgeci, Makhmadshoev y Demirbag 2021). Además, la formalización y la participación en las cadenas de valor mundiales tienen impactos sociales en la seguridad laboral, los salarios justos, la creación de empleo, el desarrollo de habilidades y la diversificación económica (OIT 2022). Esta comprensión matizada pone de relieve la necesidad de contar con políticas adaptadas que aprovechen los aspectos positivos de la formalización y la participación en las cadenas de valor mundiales, al tiempo que mitiguen las posibles externalidades negativas, allanando así el camino para un desarrollo económico sostenible e inclusivo.
En este contexto, en el contexto más amplio del desarrollo sostenible y el crecimiento inclusivo, el estudio pretende abordar dos preguntas de investigación que desentrañan la relación entre la digitalización, la formalización y la participación en las cadenas de valor mundiales. En primer lugar, ¿afecta la digitalización a la formalización de las empresas? En segundo lugar, ¿la formalización apoya a las empresas para que se adhieran a las cadenas de valor mundiales? En otras palabras, este estudio examina el impacto de la digitalización en la formalización y el efecto de la formalización en la participación de las cadenas de valor mundiales a nivel de empresa. Este estudio sostiene que la digitalización ayuda a las empresas a facilitar el proceso de formalización, mientras que la formalización apoya aún más a las empresas para que participen sin problemas en las cadenas de valor mundiales. Las principales técnicas de estimación consisten en estimaciones probit y tobit realizadas a nivel de empresa, utilizando datos transversales agrupados de las Encuestas de Empresas del Banco Mundial. El conjunto de datos, que abarca de 2008 a 2018, abarca aproximadamente 20.000 pymes de 28 países de Asia y el Pacífico.
Este estudio proporciona tres contribuciones notables al cuerpo actual de la literatura y las discusiones tanto en los círculos académicos como en los debates políticos sobre la digitalización, la formalización y las cadenas de valor mundiales. En primer lugar, las investigaciones en este campo mejoran la comprensión del papel de las tecnologías digitales y la formalización para permitir la participación en las cadenas de valor mundiales, un dominio que sigue siendo predominantemente inexplorado. En segundo lugar, opera a nivel de empresa a escala global -una rareza en este campo- aprovechando datos inexplorados a nivel de empresa para dar cuenta de la heterogeneidad crítica en la digitalización y la formalización. Por último, este estudio extrae información sobre políticas de los resultados, ayudando a las empresas a optimizar las ventajas de la digitalización y la formalización, fomentando así el crecimiento sostenible e inclusivo a una escala más amplia.
2. REVISIÓN DE LA LITERATURA
Esta sección proporciona una visión general de la investigación y los marcos teóricos existentes relacionados con las empresas informales, la digitalización, la formalización y la participación en las cadenas de valor mundiales. La discusión se estructura en dos subsecciones principales: 1) características, causas y costos de las empresas informales; y 2) el nexo entre la digitalización, la formalización, la participación en las cadenas de valor mundiales y la inclusión. La sección resume lo que se ha descubierto e identifica la brecha en la literatura existente, sentando las bases para el análisis y la discusión posteriores en este estudio. También se discuten las contribuciones de la investigación actual para abordar la brecha de literatura existente.
2.1 Empresas informales: características, causas y costos de la informalidad
En la mayoría de los estudios anteriores se han observado las características de las empresas informales y del sector informal y se han identificado las causas comunes de la informalidad entre las empresas. Las empresas informales generalmente se caracterizan por actividades intensivas en mano de obra y baja productividad, con poco potencial de crecimiento debido a la falta de acceso financiero y servicios gubernamentales como protección legal y programas de promoción empresarial. De acuerdo con la definición de empresas informales adoptada por la CIT (2015: 4), la característica más directa de las empresas informales es que no están registradas ni reguladas por el gobierno y, por lo tanto, no pagan impuestos (Swaminathan 1991; García-Murillo y Vélez-Ospina 2017; Narula 2019). La informalidad limita el acceso de las empresas informales a los recursos financieros, la protección legal, el capital del conocimiento y el mercado internacional (McGahan 2012; García-Murillo y Vélez-Ospina 2017; Koshy 2019; Narula 2019). Con respecto a la mano de obra, las empresas informales son operadas por una o pocas personas, generalmente familiares o trabajadores eventuales (García-Murillo y Vélez-Ospina 2017; Koshy 2019; Narula 2019). Tanto los empleadores como los empleados tienden a ser menos educados y menos calificados, y tienen un acceso limitado a la capacitación formal y a un entorno de trabajo decente en comparación con los del sector formal (Becker 2004; García-Murillo y Vélez-Ospina 2017; Koshy 2019). A su vez, un bajo nivel de educación y habilidades se traduce en ingresos mínimos y salarios significativamente más bajos que los del sector formal (El Mahdi y Amer 2005; Narula 2019). Las empresas informales dependen no sólo de la mano de obra poco calificada, sino también de la tecnología autóctona, equipos poco sofisticados y una escasa experiencia organizativa y gerencial (Swaminathan 1991; Becker 2004; García-Murillo y Vélez-Ospina 2017; Koshy 2019; Narula 2019). Por lo tanto, las empresas informales también se asocian con actividades de baja productividad e intensivas en mano de obra. Estas características limitan el crecimiento y la expansión del mercado de las empresas informales (García-Murillo y Vélez-Ospina 2017; Kathuria, Raj y Sen 2013; Koshy, 2019), al tiempo que pone en peligro la existencia de las empresas debido a sus vulnerabilidades en términos de capacidades y capital. Sin embargo, otra corriente de literatura, basada principalmente en estudios de caso en África y Asia meridional, observa las actividades de generación de conocimiento e innovación entre diferentes actores dentro del sector informal y entre los sectores formal e informal (por ejemplo, Links, Hart y Jacobs 2014; Ramoroka, Jacobs y Mangqalaza 2014; Kumar 2014). Estudios previos, como los de Olomi y Urassa (2016) y Vishwanath (2001), argumentan positivamente que las empresas informales se consideran el primer paso en el desarrollo del emprendimiento, mientras que otros (por ejemplo, Onyima y Ojiagu 2017) postulan que las empresas informales son la forma de supervivencia de las pequeñas empresas y no una opción.
Comprender la naturaleza de las empresas informales ayuda a identificar las causas de la informalidad, que se pueden clasificar en cuatro áreas: conciencia, naturaleza empresarial, capacidad e incentivo. Amuedo-Dorantes (2004) y Koshy (2019) señalan que la falta de conciencia sobre las ventajas de operar en el sector formal (por ejemplo, la accesibilidad al capital y a los programas de apoyo gubernamental) explica en parte la existencia de empresas informales, mientras que la naturaleza comercial de empresas específicas, incluida la estacionalidad y la ilegalidad, también impide que esas empresas se trasladen al sector formal. Además, las características de la empresa informal, como la alta intensidad de mano de obra y la baja productividad, se consideran obstáculos para la formalización. Las empresas con insuficientes capacidades en finanzas, tecnología y recursos humanos, principalmente en alfabetización digital, financiera y contable, encuentran dificultades para avanzar hacia la esfera empresarial formal (OCDE 2017; Koshy 2019). El último factor clave que impide la formalización de las empresas informales es la falta de incentivos. Cuando los beneficios marginales de la formalización (por ejemplo, el potencial de crecimiento) son menores que sus costos marginales (por ejemplo, los costos de cumplimiento y los impuestos), las empresas informales optan por permanecer en el sector informal (Cusolito, Safadi y Taglioni 2016; Onyima y Ojiagu 2017). Dado que la mayoría de las empresas informales están impulsadas por la necesidad y operan cerca de los niveles de subsistencia, tienen bajas ambiciones de productividad y crecimiento, lo que se traduce en bajos beneficios marginales de la formalización (Secretaría de la ASEAN, 2019). Además, las empresas informales creen que operar formalmente puede ser más costoso debido a los altos costos de registro y cumplimiento generados por los impuestos, un proceso de registro complejo, una regulación excesiva y cargas administrativas (Cebula 1997; Dennis y Pliego Ramos 2016; Dobson y Ramlogan-Dobson 2012; Ganne y Lundquist 2019). Los costos marginales de la formalización pueden ser aún mayores, particularmente en las economías en desarrollo donde los gobiernos son menos eficientes y menos transparentes y no proporcionan un régimen tributario claro y razonable y servicios públicos suficientes, o programas de inversión para apoyar a las empresas informales o a las pymes en general (Secretaría de la ASEAN 2019; Botero et al. 2004; Friedman et al. 2000; Johnson et al. 2000; Straub 2005).
A pesar de que operar en el sector informal puede beneficiar a las empresas en términos de flexibilidad y evasión fiscal, ser una empresa informal conlleva costos significativos. Las empresas informales tienen un acceso limitado a varias oportunidades de crecimiento, como la aplicación de normas y licencias, los servicios financieros, los subsidios gubernamentales y los servicios de desarrollo empresarial, las licitaciones y adquisiciones públicas, y la mejora tecnológica (Farazi 2014; Koshy 2019). Debido a la insuficiencia de recursos financieros y tecnología, las empresas informales tienen baja productividad y operan de manera ineficiente (Farazi 2014; Perry et al. 2007). Busso, Fazio y Levy (2012) estiman que la asignación de recursos de las empresas informales a las empresas formales haría que los recursos valieran un 28% más, debido a la mala asignación de recursos en el sector informal. El tema de la eficiencia de la producción, a su vez, impide que las empresas informales participen en las cadenas de valor mundiales y en los mercados internacionales (Ganne y Lundquist 2019; Koshy 2019) y afecta negativamente la productividad agregada y el nivel del producto interno bruto (PIB) (Busso, Fazio y Levy 2012; La Porta y Shleifer 2008). El Fondo Monetario Internacional (FMI) (2017) concluye que, en México, el PIB podría aumentar en un 125% al asignar recursos, por ejemplo, capital y mano de obra, de manera más eficiente entre el sector formal e informal.
2.2 El nexo entre la digitalización, la formalización, la participación en la cadena de valor global y la inclusión
La conciencia sobre el papel de la digitalización en la promoción de la formalización de las empresas y los mecanismos y beneficios relevantes, en particular la expansión empresarial y la actualización tecnológica, apenas se ha planteado en la literatura existente, con pocos estudios empíricos. En esta sección se presentan las discusiones actuales sobre el papel de la tecnología digital en la formalización, la relación entre la formalización y la participación en las cadenas de valor mundiales, y los mecanismos subyacentes.
2.2.1 El papel de la digitalización y sus mecanismos
La digitalización ofrece una oportunidad sin precedentes para facilitar la formalización de las empresas informales a través de la adopción de innovación y tecnología digital, como soluciones de inteligencia artificial, aplicaciones de contabilidad, plataformas de comercio electrónico e Internet de las Cosas (IoT), entre otras. Estas herramientas digitales, que afectan tanto los costos como los beneficios de la formalización, ayudan a las empresas informales a abordar las barreras para la formalización, reduciendo los costos de cumplimiento, mejorando la productividad de la empresa y de los trabajadores y, por lo tanto, impulsando a las empresas a adoptar una formalización gradual. Además, el gobierno también puede utilizar plataformas y herramientas digitales para facilitar el proceso de formalización, por ejemplo, simplificando los procedimientos de registro y brindando apoyo para el desarrollo de capacidades y la inversión a través de plataformas digitales (Secretaría de la ASEAN 2019; OIT 2020; Olomi y Urassa 2016). Aunque se necesitan más análisis, la evidencia sugiere que el impacto de la digitalización en la formalización podría ser considerable.
Dado que el proceso de formalización involucra principalmente a las empresas informales y al gobierno, la literatura ha examinado los mecanismos de la tecnología digital en la formalización desde ambas perspectivas. En cuanto a las empresas informales a nivel nacional, García-Murillo y Vélez-Ospina (2017) sugieren que el tamaño del sector informal se correlaciona negativamente con el número de suscripciones a la banda ancha. Es probable que las empresas con tecnologías digitales operen su negocio formalmente. A nivel de las empresas, la tecnología digital facilita la transición de las empresas informales al sector formal a través de dos mecanismos principales, a saber, la reducción de los costos de cumplimiento y el aumento de la productividad. En primer lugar, la digitalización fomenta la formalización al reducir diversos costos asociados con el proceso de formalización, como los costos de búsqueda e información (Aslam y Shah 2017; Onyango et al. 2014) y los costos logísticos (Kumar y van Welsum 2013; Onyango et al. 2014). El gobierno también desempeña un papel importante en la reducción de los costos de cumplimiento que asumen las empresas informales. Como coinciden la Secretaría de la ASEAN (2019) y Krichewsky-Wegener (2020), la digitalización de los servicios financieros, así como de los servicios públicos y la administración, hace que el cumplimiento sea más barato y sencillo para las empresas informales, al tiempo que les ayuda a abordar el problema de la informalidad. Por ejemplo, en 2015, Chile lanzó la plataforma Escritorio Empresa para agilizar y simplificar los trámites administrativos. La plataforma abarca diversos servicios, por ejemplo, el registro de empresas, las solicitudes de licencias y titulaciones, las solicitudes de financiación pública y contratos, y el registro de patentes (OCDE 2016). La implementación del sistema de pago sin efectivo M-Pesa en Kenia reformó estructuralmente el sector informal y ofreció formas más fáciles para que las empresas informales se registraran (Krichewsky-Wegener 2020). El FMI, Departamento Africano (2020) concluye que un programa de capacitación sobre banca en línea ofrecido en Benín indujo un aumento del 16,3% en el número de registros de empresas informales. Además, en México, para apoyar a las empresas informales en su transición al sector formal, se distribuyeron tabletas equipadas con software relacionado con la tributación a las empresas a través del programa Tabletas Concanaco (Krichewsky-Wegener 2020). Además de los beneficios económicos, la digitalización también aumenta la productividad de las empresas y los trabajadores y la competitividad de las empresas informales. La innovación y la tecnología digitales ayudan a fomentar respuestas en tiempo real, facilitan las operaciones y la gestión empresarial, facilitan los pagos y las transacciones comerciales, y ayudan a obtener acceso a recursos financieros y servicios gubernamentales (Secretaría de la ASEAN 2019; Krichewsky-Wegener 2020; Kumar y van Welsum 2013). A través de ambos mecanismos, la digitalización es una base o punto de entrada para la formalización.
2.2.2 Formalización, participación en la cadena de valor global e inclusión
La literatura existente presenta dos observaciones de la relación entre la formalización y la participación en las CGV. Por un lado, la informalidad se considera una de las limitaciones críticas que impiden a las empresas participar en las cadenas de valor mundiales, ya que la condición principal de la participación en las cadenas de valor mundiales es cumplir con los estándares y requisitos internacionales de las empresas multinacionales extranjeras o «sede» y los mercados globales, que generalmente imponen altos costos para la mejora técnica y exigen implícitamente la formalización de las empresas (Cusolito, Safadi y Taglioni 2016; Ganne y Lundquist 2019; Korwatanasakul y Paweenawat 2020; OCDE 2017). A menos que las empresas se formalicen, es difícil que entren en las cadenas de valor mundiales, especialmente en el caso de las empresas que prevalecen en las partes inferiores de las cadenas de valor mundiales y en las economías de bajos ingresos. Las empresas informales pueden aprovechar la formalidad para penetrar en nuevos mercados y segmentos, especialmente en los mercados internacionales, al tiempo que tienen más y mejores oportunidades para satisfacer una mayor diversidad y opciones en la oferta de bienes intermedios y la innovación (Secretaría de la ASEAN 2019; Onyango et al. 2014). Por otro lado, las empresas informales pueden unirse a las cadenas de valor mundiales proporcionando mano de obra barata a las empresas multinacionales. Estudios previos (p. ej., Grant y Oteng-Ababio 2012; Meagher 2013; Murphy 2007; Narula y Pineli 2019) muestran los efectos positivos de la integración de las empresas informales en las cadenas de valor mundiales, como la mejora tecnológica, la expansión de la creación de empleo, la mejora de los ingresos y un mejor acceso a los mercados. Utilizando el nexo informal-formal, las empresas informales que participan en las cadenas de valor pueden ascender en las cadenas de valor y acercarse a la formalidad (Narula 2019).
Por lo tanto, la literatura existente implica el nexo entre la formalización, la participación en las cadenas de valor mundiales y la inclusión, ya que revela una relación compleja entre las implicaciones ambientales y sociales de la formalización y la participación en las cadenas de valor mundiales. La formalización se asocia con resultados ambientales favorables, ya que las empresas formalizadas tienden a adherirse de manera más estricta a las regulaciones ambientales, lo que resulta en una reducción de la contaminación y un mejor cumplimiento de los estándares de sostenibilidad (OIT 2022). En lo que respecta a la participación en las cadenas de valor mundiales, existe una combinación de desafíos y oportunidades (Golgeci, Makhmadshoev y Demirbag 2021). Aunque el transporte de larga distancia dentro de las cadenas de valor mundiales puede aumentar las emisiones de gases de efecto invernadero, se alienta a las empresas participantes a adoptar prácticas sostenibles para cumplir con los estándares globales. Además, la participación en las cadenas de valor mundiales está vinculada a una mayor eficiencia en la utilización de los recursos, ya que las empresas optimizan los procesos de producción, reduciendo así los residuos y promoviendo un uso más eficiente de los recursos. En cuanto a los aspectos sociales, la formalización está relacionada con la seguridad laboral y los salarios equitativos, mientras que la participación en las cadenas de valor mundiales se asocia con la creación de empleo, la mejora de las habilidades y la diversificación económica (Grant y Oteng-Ababio 2012; OIT 2022; Meagher 2013; Murphy 2007; Narula y Pineli 2019). Esta perspectiva matizada subraya la necesidad de políticas adaptadas que aprovechen los aspectos positivos de la formalización y la participación en las cadenas de valor mundiales, al tiempo que mitigan las posibles externalidades negativas, fomentando en última instancia el desarrollo económico sostenible e inclusivo.
En resumen, lo que se ha descubierto hasta ahora es lo siguiente: (1) la alta intensidad de mano de obra, la baja productividad, el limitado potencial de crecimiento y el poco acceso a recursos financieros y apoyo gubernamental se encuentran entre las características más comunes de las empresas informales (Koshy 2019; OCDE 2017); (2) la naturaleza empresarial, la falta de conciencia, capacidad e incentivo son las principales causas de la informalidad (por ejemplo, Cusolito, Safadi y Taglioni 2016; Onyima y Ojiagu 2017); (3) ser una empresa informal conlleva importantes costos de oportunidad (p. ej., Farazi 2014; Koshy 2019); (4) entre un número limitado de estudios empíricos, se afirma que la tecnología digital facilita el proceso de formalización al reducir los costos de cumplimiento y mejorar la productividad de las empresas y los trabajadores (Secretaría de la ASEAN 2019; OIT 2020; Olomi y Urassa 2016). (5) si bien la formalización se considera un requisito previo para participar en las cadenas de valor mundiales, los estudios muestran que las empresas informales pueden unirse a las cadenas de valor mundiales sin formalización (por ejemplo, Grant y Oteng-Ababio 2012; Meagher 2013; Murphy 2007; Narula y Pineli, 2019). Se han inferido nociones comunes sobre los efectos positivos de la digitalización en la formalización y los de la formalización en la participación en las cadenas de valor mundiales sin suficiente apoyo empírico. Esto se debe en parte a la ausencia de datos a nivel de empresa, especialmente en las economías en desarrollo. Por lo tanto, la mayoría de los estudios se han visto obligados a utilizar las fuentes de datos agregados existentes para investigar estos temas.
En respuesta a las brechas y limitaciones identificadas, este estudio investiga las conexiones entre la digitalización y la formalización y la formalización y la participación en las cadenas de valor mundiales a nivel de empresa. Utiliza datos transversales agrupados que abarcan desde 2007 hasta 2019, abarcando más de 50.000 empresas en todo el mundo. Hasta donde sabe el autor, este estudio representa el esfuerzo inaugural para realizar análisis empíricos y utilizar datos a nivel de empresa en estos dominios de investigación específicos. Como resultado, el estudio contribuye a establecer conclusiones sólidas sobre la influencia de la digitalización en la formalización de las empresas, junto con el impacto de la formalización en la participación en las CGV a nivel de empresa. Subraya las ventajas y la importancia de la digitalización y la formalización, al tiempo que ofrece sugerencias de políticas pertinentes para reforzar el proceso de formalización.
3. METODOLOGÍA
3.1 Datos
El análisis se lleva a cabo sobre la base de cada empresa, utilizando datos transversales agregados procedentes de las Encuestas de Empresas del Banco Mundial. Los datos abarcan aproximadamente 20.000 pymes de 28 países de Asia y el Pacífico entre 2008 y 2018. Sobre la base de los trabajos de Urata y Baek (2020), Korwatanasakul (2020), Korwatanasakul y Paweenawat (2020) y Korwatanasakul (2023), este estudio formula dos métricas para medir la participación en las cadenas de valor mundiales: el indicador ficticio de participación en las cadenas de valor mundiales y el índice de participación en las cadenas de valor mundiales. Las empresas pueden participar en las cadenas de valor mundiales directa e indirectamente a través de diferentes pautas de participación en el comercio exterior (cuadro 1). Sobre la base de estos patrones, la variable ficticia de participación en las cadenas de valor mundiales significa si las empresas participan en las cadenas de valor mundiales. En cambio, el índice de participación en las cadenas de valor mundiales se obtiene multiplicando la proporción de las exportaciones con respecto a las ventas totales por la proporción de los insumos extranjeros con respecto a los insumos totales. Cada indicador se utiliza en diferentes modelos de estimación, incluidas las estimaciones probit y tobit. En la Tabla 2 se presentan estadísticas resumidas.

3.2 Método de investigación
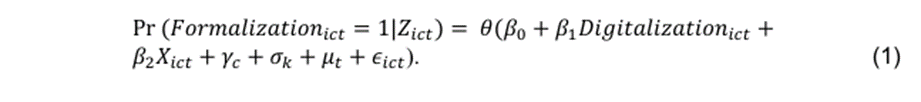
Con base en los estudios previos discutidos en la sección de revisión de la literatura (e.g., Becker 2004; García-Murillo y Vélez-Ospina 2017; Koshy 2019; Narula 2019; Swaminathan 1991), el estudio formula el primer modelo probit que estima la probabilidad de que una empresa con atributos específicos, como la conectividad digital, los tipos de propiedad, etcétera, se clasifique en uno de dos posibles resultados binarios: una empresa formal o informal:

Aquí, la Formalización indica si una empresa está formalmente registrada, mientras que la Digitalización está representada por la adopción del correo electrónico o el sitio web de la empresa en el país c y el año t. X representa un conjunto de variables de control: productividad laboral, propiedad extranjera, certificado de calidad reconocido internacionalmente, acceso al crédito y participación en GVC (variable ficticia de participación en GVC e índice de participación GVC). Se emplean errores estándar robustos y el modelo de estimación incorpora efectos fijos para el país, la industria y el tiempo, representados por γ, σ y μ, respectivamente.

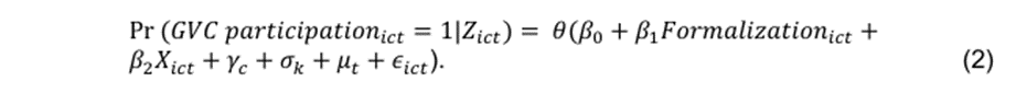
Por otro lado, sobre la base de Korwatanasakul (2023), el segundo modelo probit (Tabla 4, columnas 1-4) examina si la formalización afecta la probabilidad de participación en las cadenas de valor mundiales. El modelo de estimación es el siguiente:

De manera similar al primer modelo probit, la formalización indica si una empresa está formalmente registrada, mientras que la participación en las cadenas de valor mundiales se refiere a la variable ficticia de participación en las cadenas de valor mundiales. Siguiendo a Korwatanasakul (2023), X representa un conjunto de variables de control, entre las que se encuentran la Digitalización y otras definidas anteriormente. El modelo de estimación incorpora efectos fijos para el país, la industria y el tiempo, así como el término de perturbación, representado por σ, μ y εit, respectivamente. En la estimación también se utilizan errores estándar robustos.
Además, el modelo tobit (Tabla 4, Columnas 5-8) estima el efecto de la formalización en el nivel de participación en las cadenas de valor mundiales a través de la siguiente especificación del modelo:

A excepción de GVCindex∗, todas las variables son las mismas que las especificadas en la ecuación (2). VCindex∗ se refiere al grado de participación en las cadenas de valor mundiales, calculado como el producto de la relación entre las exportaciones y las ventas totales y la relación entre los insumos extranjeros y los insumos totales. Se emplean errores estándar robustos y el modelo de estimación incorpora efectos fijos para el país, la industria y el tiempo, representados por γ, σ y μ, respectivamente.
4. RESULTADOS Y DISCUSIÓN
4.1 Los efectos de la digitalización en la formalización
Los resultados de la estimación en la Tabla 3 indican el conjunto de determinantes de la formalización. Las variables de digitalización, es decir, el correo electrónico y el sitio web, muestran un efecto positivo estadísticamente significativo en la formalización, y sus coeficientes son robustos en las diferentes especificaciones del modelo (Columnas 1-4). Dado que las tecnologías digitales, como el correo electrónico y los sitios web, pueden ayudar a las empresas informales a reducir los costos de cumplimiento y mejorar la productividad, las empresas con digitalización tienden a tener una mayor probabilidad de formalizarse (por ejemplo, Aslam y Shah 2017; Kumar y van Welsum 2013; Onyango et al. 2014). En cuanto a las variables de control, la productividad laboral, la titularidad de la certificación de calidad reconocida internacionalmente y el acceso al crédito son estadísticamente significativos y afectan positivamente la formalización. Sus coeficientes estimados son robustos en diferentes especificaciones del modelo. Las empresas con mayor productividad laboral tienen mayores capacidades para agilizar y estandarizar sus operaciones comerciales y, por lo tanto, una mayor probabilidad de operar en el sector formal. Esto es consistente con los argumentos destacados, por ejemplo, por la Secretaría de la ASEAN (2019), Krichewsky-Wegener (2020) y Kumar y van Welsum (2013) en la sección de revisión de la literatura. Del mismo modo, las empresas con un certificado de calidad reconocido internacionalmente y acceso al crédito tienen más probabilidades de registrarse formalmente, ya que pueden cumplir con las leyes y reglamentos. Por lo tanto, los certificados y el acceso al crédito también son determinantes de la formalización. En contraste, la propiedad extranjera no afecta la probabilidad de formalización.
4.2 Los efectos de la formalización en la participación de la cadena de valor mundial
La Tabla 4 muestra que la formalización tiene una relación positiva estadísticamente significativa con la participación de las CGV en las estimaciones probit y tobit. En otras palabras, la formalización permite a las empresas participar en las cadenas de valor mundiales (ficticia de participación en las cadenas de valor mundiales, columnas 1 a 3) y aumentar la participación en las cadenas de valor mundiales (índice de participación en las cadenas de valor mundiales, columnas 4 y 6). Los hallazgos son consistentes con los estudios existentes que postulan que, a través de la formalización, las empresas pueden mejorar sus capacidades para cumplir con los estándares y requisitos internacionales (por ejemplo, Cusolito, Safadi y Taglioni 2016; Ganne y Lundquist 2019; Korwatanasakul y Paweenawat 2020; OCDE 2017). Dado que los coeficientes de participación en las cadenas de valor mundiales de la Tabla 3 no muestran efectos estadísticamente significativos sobre la formalización, los resultados confirman la ausencia de causalidad inversa en la relación entre la formalización y la participación en las cadenas de valor mundiales. La digitalización también desempeña un papel vital en la promoción de la participación en las cadenas de valor mundiales y el nivel de participación en las cadenas de valor mundiales. Los coeficientes estimados de digitalización son sólidos en todas las especificaciones del modelo. Compatible con los estudios existentes (por ejemplo, Korwatanasakul 2020, 2023), la conectividad digital, como el correo electrónico y los sitios web, posiblemente mejore la productividad y la eficiencia laboral de las empresas a través de otros canales más allá de la formalización. Además, la productividad laboral, la propiedad extranjera, la certificación y el acceso al crédito también son estadísticamente significativos y sólidos en diferentes especificaciones. Los cuatro factores contribuyen a una mayor probabilidad y nivel de participación en las cadenas de valor mundiales. Esto es consistente con los hallazgos de Korwatanasakul y Paweenawat (2020) y Urata y Baek (2020). Las empresas con propiedad extranjera, certificados de calidad reconocidos internacionalmente, acceso al crédito o alta productividad laboral tienen mayor competitividad y productividad. Por lo tanto, están dispuestos a unirse a las cadenas de valor mundiales.


4.3 Discusión de políticas
Los hallazgos de las Tablas 3 y 4 subrayan el potencial transformador de la adopción de tecnologías digitales para fomentar la formalización empresarial. En particular, los resultados revelan una relación recíproca, lo que indica que la digitalización y la formalización actúan como factores que se refuerzan mutuamente, impulsando a las empresas hacia una mayor participación en las cadenas de valor mundiales y elevando la profundidad de su participación en estas cadenas. Esto implica que el refuerzo de los esfuerzos de digitalización puede catalizar avances simultáneos en la formalización y la participación en las cadenas de valor mundiales, facilitados a través de canales y mecanismos análogos. La mejora estratégica de la digitalización por parte de los organismos gubernamentales surge como una poderosa palanca para impulsar la formalización y ampliar la participación de las cadenas de valor mundiales. Esto, a su vez, aumenta el cumplimiento ambiental y contribuye sustancialmente al espíritu de crecimiento inclusivo y sostenible. La entrada de más empresas en la economía formal, facilitada por la relación simbiótica entre digitalización y formalización, está en línea con la investigación contemporánea (Golgeci, Makhmadshoev y Demirbag 2021; OIT 2022), señalando una vía prometedora para las intervenciones políticas orientadas a fomentar el desarrollo económico con un gran enfoque en la responsabilidad ambiental y la inclusión social.
En los modelos de estimación, la digitalización se representa mediante el uso de tecnologías digitales básicas, incluidos el correo electrónico y los sitios web. A pesar de su simplicidad tecnológica y bajos costos de inversión, los correos electrónicos y los sitios web tienen efectos sólidos en la formalización de las empresas y la participación en las cadenas de valor mundiales. Los múltiples efectos de la digitalización y sus bajos precios implican la rentabilidad de las medidas de política en este ámbito. Sin embargo, las pymes de Asia y el Pacífico muestran una preparación digital insuficiente en general, con brechas notables entre sus niveles actuales y la frontera de preparación digital en varios ámbitos, como las finanzas, la infraestructura de apoyo y la capacidad laboral, a pesar de las tasas de adopción relativamente fuertes en el uso de las telecomunicaciones y el correo electrónico; sin embargo, su adopción de sitios web sigue siendo baja, lo que pone de manifiesto las áreas de mejora en la digitalización (Korwatanasakul 2023). Para facilitar la transición de las empresas informales al sector formal, los responsables de la formulación de políticas pueden ofrecer o garantizar inicialmente a las empresas el acceso a la tecnología digital básica, que requiere dispositivos (por ejemplo, computadoras y tabletas), aplicaciones digitales (por ejemplo, aplicaciones de correo electrónico y aplicaciones de creación de sitios web), infraestructura y entorno digital propicios (por ejemplo, acceso a la electricidad e Internet) y conocimientos o alfabetización digital (por ejemplo, saber cómo utilizar los correos electrónicos en la comunicación empresarial y cómo crear un sitio web de empresa).
A pesar de que los efectos de la productividad laboral son más débiles que los de la digitalización en todos los modelos de estimación, la mejora de la productividad laboral puede considerarse una de las opciones de política prácticas para promover la formalización y la participación en las cadenas de valor mundiales. Varias medidas de política podrían mejorar la productividad laboral, entre ellas: aumentar la inversión en infraestructura, en particular en telecomunicaciones e innovación digital; reformar los impuestos y la asistencia social para mejorar los incentivos laborales; mejorar la calidad de la educación y la formación, especialmente en términos de alfabetización digital y capacidades futuras; y mejorar la calidad de la sanidad pública, entre otros.
La otra opción de política derivada de los resultados estimados en la Tabla 4 es la formalización. Las medidas de política, especialmente las que utilizan la digitalización para fomentar la formalización, promueven la participación en las cadenas de valor mundiales. La formalización no solo ayuda a las empresas a evitar los costos asociados a la informalidad, como se sugiere en la literatura (por ejemplo, Farazi 2014; Koshy 2019), sino que también se beneficia de los beneficios obtenidos a través de la participación en las cadenas de valor mundiales. Si bien reconocen que la formalización es una cuestión compleja que requiere una sinergia de diferentes ámbitos de política, los responsables de la formulación de políticas pueden promover el registro mediante una mejor reforma del entorno empresarial, como un régimen jurídico y un registro de empresas simplificados, y la reducción de los obstáculos a la formalidad y a las cadenas de valor mundiales, entre otras cosas (OCDE 2020; Van Doorn 2018). Esto reduciría los costos de registro y cumplimiento para las empresas informales existentes y los posibles empresarios. Además, los responsables de la formulación de políticas pueden hacer hincapié en los beneficios de la formalización para las empresas, en particular en lo que respecta a la participación en las cadenas de valor mundiales. Sobre la base de las necesidades y las voces reales de las empresas informales, el gobierno puede proporcionar medidas para facilitar el acceso a programas de desarrollo de capacidades y apoyo financiados por el gobierno, asegurar la accesibilidad financiera y garantizar incentivos fiscales para las empresas informales que ingresan a la economía formal.
En resumen, la prioridad deben ser las medidas de política que mejoren la digitalización básica de las empresas, ya que son rentables y pueden promover simultáneamente la formalización y la participación de las empresas en las cadenas de valor mundiales. Además, se pueden implementar medidas de política que mejoren la productividad laboral y la formalización como políticas de apoyo. El debate también subraya el vínculo fundamental entre la digitalización, la formalización y el crecimiento inclusivo, destacando su papel en la reducción de la informalidad, el aumento de la participación en las cadenas de valor mundiales, la mejora de la productividad y la competitividad, y la creación de oportunidades para el empoderamiento económico. Al permitir la transición de las empresas informales al sector formal y facilitar su integración en las cadenas de valor mundiales, la digitalización y la formalización contribuyen a un entorno económico más inclusivo en el que todas las empresas pueden competir en igualdad de condiciones. Además, al mejorar la productividad y la competitividad mediante la adopción de herramientas digitales y operaciones formalizadas, las empresas, especialmente las pymes, pueden acceder a los mercados mundiales, a la tecnología y a los conocimientos técnicos, lo que conduce a una mayor creación de empleo, generación de ingresos y reducción de la pobreza. En general, el debate revela la importancia de la digitalización y la formalización para impulsar el crecimiento inclusivo al garantizar que los beneficios del desarrollo económico se compartan de manera más equitativa entre los diferentes grupos sociales y económicos.
5. CONCLUSIÓN
En conclusión, esta investigación contribuye significativamente al discurso sobre el desarrollo económico sostenible e inclusivo al arrojar luz sobre las intrincadas relaciones entre la digitalización, la formalización y la participación en las cadenas de valor mundiales. El estudio aborda un vacío crítico en la literatura, desafiando las nociones comúnmente aceptadas sin un apoyo empírico sólido y ampliando la comprensión del impacto de la formalización en la participación en las cadenas de valor mundiales. La importancia más amplia de esta investigación radica en sus implicaciones para las estrategias de formulación de políticas destinadas a fomentar la sostenibilidad y la inclusión.
Los resultados estimados muestran que las empresas con conectividad digital, es decir, la adopción del correo electrónico o sitios web, tienen más probabilidades de operar en el sector formal. Además, este estudio concluye que la formalización permite a las empresas no sólo participar en las cadenas de valor mundiales, sino también aumentar el nivel de participación en las cadenas de valor mundiales. Por lo tanto, los hallazgos subrayan la importancia de la digitalización y la formalización para facilitar la participación de las empresas en las cadenas de valor mundiales.
Las implicaciones políticas que se derivan de estos resultados subrayan la urgencia y la eficacia de dar prioridad a las medidas básicas de digitalización. Los responsables de la formulación de políticas interesados en el desarrollo económico sostenible e inclusivo pueden aprovechar simultáneamente estas medidas rentables para promover la formalización y la participación en las cadenas de valor mundiales. El estudio fomenta un enfoque holístico, recomendando políticas adicionales que apoyen la productividad laboral y la formalización como estrategias complementarias.
Si bien reconoce el posible problema de endogeneidad, particularmente en la relación entre digitalización y formalización, el estudio sirve como un punto de partida esencial para investigaciones más exhaustivas. Las limitaciones identificadas, en particular la falta de datos exhaustivos sobre la digitalización, la formalización y la participación en las cadenas de valor mundiales, ponen de manifiesto la necesidad de realizar investigaciones futuras y mejorar los datos. Esta investigación señala la importancia de ampliar el alcance de las variables, por ejemplo, la digitalización de los procedimientos de producción y venta, la formalización más allá del registro de empresas y los diferentes tipos de participación en las cadenas de valor y las cadenas de valor de las cadenas de valor mundiales.
Los futuros esfuerzos de investigación deben centrarse en mejorar la calidad de los datos y manejar el problema de la endogeneidad. Los estudios cualitativos y los análisis específicos de cada país pueden ofrecer información valiosa y validación cruzada de los resultados. Además, explorar el papel de los modelos de negocio y las etapas de la cadena de valor contribuirá a una comprensión más matizada de las relaciones entre la formalización, la participación en las cadenas de valor mundiales y las estructuras digitales integradas. Dada la influencia significativa en las empresas más grandes y formalizadas (registradas), la investigación futura podría centrarse en la submuestra de empresas no registradas y encontrar coincidencias basadas en las características de la empresa, como la industria y la productividad laboral.
REFERENCIAS
Amuedo-Dorantes, C. 2004. Determinantes e Implicaciones de la Pobreza del Trabajo en el Sector Informal en Chile. Desarrollo Económico y Cambio Cultural 52(2): 347–368.
Andrade, G. H., M. Bruhn y D. McKenzie. 2015. ¿Una mano amiga o el largo brazo de la ley? Evidencia experimental sobre lo que los gobiernos pueden hacer para formalizar las empresas. Revista Económica del Banco Mundial 30 (1): 24–54.
Secretaría de la ASEAN. 2019. Guía de política sobre la digitalización de las microempresas de la ASEAN: aprovechamiento de la transformación digital para promover la formalización de las microempresas. Adoptado por los ministros de Economía de la ASEAN (AEM) en la 51ª Reunión de la AEM, Bangkok, Tailandia.
Foro de Cooperación Económica Asia-Pacífico (APEC) 2020. Pequeñas y medianas empresas. https://www.apec.org/Groups/SOM-Steering-Committee-on-Economic-andTechnical-Cooperation/Working-Groups/Small-and-Medium-Enterprises.
Aslam, A. y A. Shah. 2017. Fiscalidad y economía peer-to-peer. En Digital Revolutions in Public Finance, editado por A. Gupta, M. Keen, A. Shah y G. Verdier. Washington, DC: Fondo Monetario Internacional.
Becker, K. F. 2004. La economía informal. Estocolmo: Agencia Sueca de Cooperación Internacional para el Desarrollo. https://www.sida.se/contentassets/ff689029b9a5479ebc8688bbe521600e/13925.pdf.
Botero, J., S. Djankov, R. La Porta, F. López-de-Silanes y A. Shleifer. 2004. La regulación del trabajo. Revista Trimestral de Economía 119(4):1339–1382.
Bruhn, M. y D. McKenzie. 2014. Regulaciones de ingreso y formalización de microempresas en países en desarrollo. Observador de Investigación del Banco Mundial 29(2): 186–201.
Busso, M., M. Fazio y S. Levy. 2012. (In)formal e (in)productivo: los costos productivos de la excesiva informalidad en México. Serie de Documentos de Trabajo del BID, No. IDB-WP-341, Washington, DC: BID. https://publications.iadb.org/bitstream/handle/11319/4047/%28In%29Formal%20and%20%28Un%29Productive%3A%20The%20Productivity%20Costs%20of%20Excessive%20Informality%20in%20Mexico.pdf?sequence=1.
Cebula, R. 1997. Un análisis empírico del impacto de las políticas fiscales y de auditoría gubernamentales sobre el tamaño de la economía sumergida: el caso de los Estados Unidos, 1973-1994. Revista Americana de Economía y Sociología 56: 73–186.
Cusolito, A. P., R. Safadi y D. Taglioni. 2016. Cadenas de valor mundiales inclusivas: opciones de política para las pequeñas y medianas empresas y los países de bajos ingresos. OCDE/Banco Mundial.
De Mel, S., D., McKenzie y C. Woodrufff. 2013. La demanda y las consecuencias de la formalización entre las empresas informales en Sri Lanka. American Economic Journal: Applied Economics 5(2): 122–150.
Dennis, M. J. y J. M. Pliego Ramos. 2016. Empresa simplificada: creación de un entorno legal propicio para las micro, pequeñas y medianas empresas: incorporación y registro simplificados. Revista de Derecho Internacional y Comparado de Arizona (Tucson, Arizona) 33: 71–92.
Dobson, S. y C. Ramlogan-Dobson. 2012. Desigualdad, corrupción y sector informal. Cartas de Economía 115(1): 104–107.
El Mahdi, A., y M. Amer. 2005. Egipto: Creciente informalidad, 1990-2003. En Buenos empleos, malos empleos, sin empleos: mercados laborales y trabajo informal en Egipto, El Salvador, India, Rusia y Sudáfrica, editado por T. Avirgan, J. Bivens y S. Gammage. Washington, DC: Instituto de Política Económica.
Farazi, S. 2014. Empresas informales e inclusión financiera: estatus y determinantes. Documento de trabajo No. 6778 sobre investigación de políticas, Banco Mundial, Washington, DC: Banco Mundial.
Friedman, E., S. Johnson, D. Kaufman y P. Zoido-Lobatón. 2000. Esquivando la mano que agarra: los determinantes de la actividad no oficial en 69 países. Revista de Economía Pública 76: 459–492.
Ganne, E. y K. Lundquist. 2019. La economía digital, las cadenas de valor mundiales y las pymes. En Informe sobre el Desarrollo de la Cadena de Valor Mundial 2019: Innovación tecnológica, comercio de la cadena de suministro y trabajadores en un mundo globalizado, editado por D. Dollar, E. Ganne, V. Stolzenburg y Z. Wang (pp. 121-140). Ginebra: Organización Mundial del Comercio
García-Murillo, M. y J. A. Vélez-Ospina. 2017. Las TIC y la economía informal: funciones de la telefonía móvil y la banda ancha. Política, Regulación y Gobernanza Digital 19(1): 58–76.
Golgeci, I., D. Makhmadshoev y M. Demirbag. 2021. Cadenas de valor globales y la sostenibilidad ambiental de las empresas de mercados emergentes: una revisión sistemática de la literatura y la agenda de investigación. International Business Review 30(5): 101857.
Grant, R., y M. Oteng-Ababio. 2012. Mapeo de la Economía ‘Africana’ Invisible y Real: Circuitos Urbanos de Residuos Electrónicos. Geografía Urbana 33(1): 1–21.
Corporación Financiera Internacional (IFC). 2012. Base de datos sobre la brecha de las finanzas empresariales. Washington DC: Banco Mundial.
Conferencia Internacional del Trabajo (CIT). 2015. Recomendación núm. 204 sobre la transición de la economía informal a la formal. Ginebra: CIT.
OIT. 2018. Mujeres y hombres en la economía informal: un panorama estadístico. 3ª edición. Ginebra: OIT.
———. 2020. Transición a la Economía Formal a través de la Tecnología, o E-formality. Página web de la OIT. https://www.ilo.org/employment/areas/e-formality/lang- en/index.htm.
———. 2022. Una Doble Transición: la Formalización y el Giro hacia la Sostenibilidad Ambiental con Trabajo Decente. Ginebra: OIT.
Fondo Monetario Internacional (FMI). 2017. México: Selección de números y notas analíticas. Informe del FMI por país, No. 17/347. Washington, DC: FMI.
FMI. Departamento de África 2020. 3. Digitalización en África subsahariana. En Perspectivas económicas regionales, abril de 2020, África subsahariana: COVID-19: una amenaza sin precedentes para el desarrollo. Washington, DC: FMI.
Publicado originalmente: https://www.adb.org/sites/default/files/publication/970711/adbi-wp1448.pdf